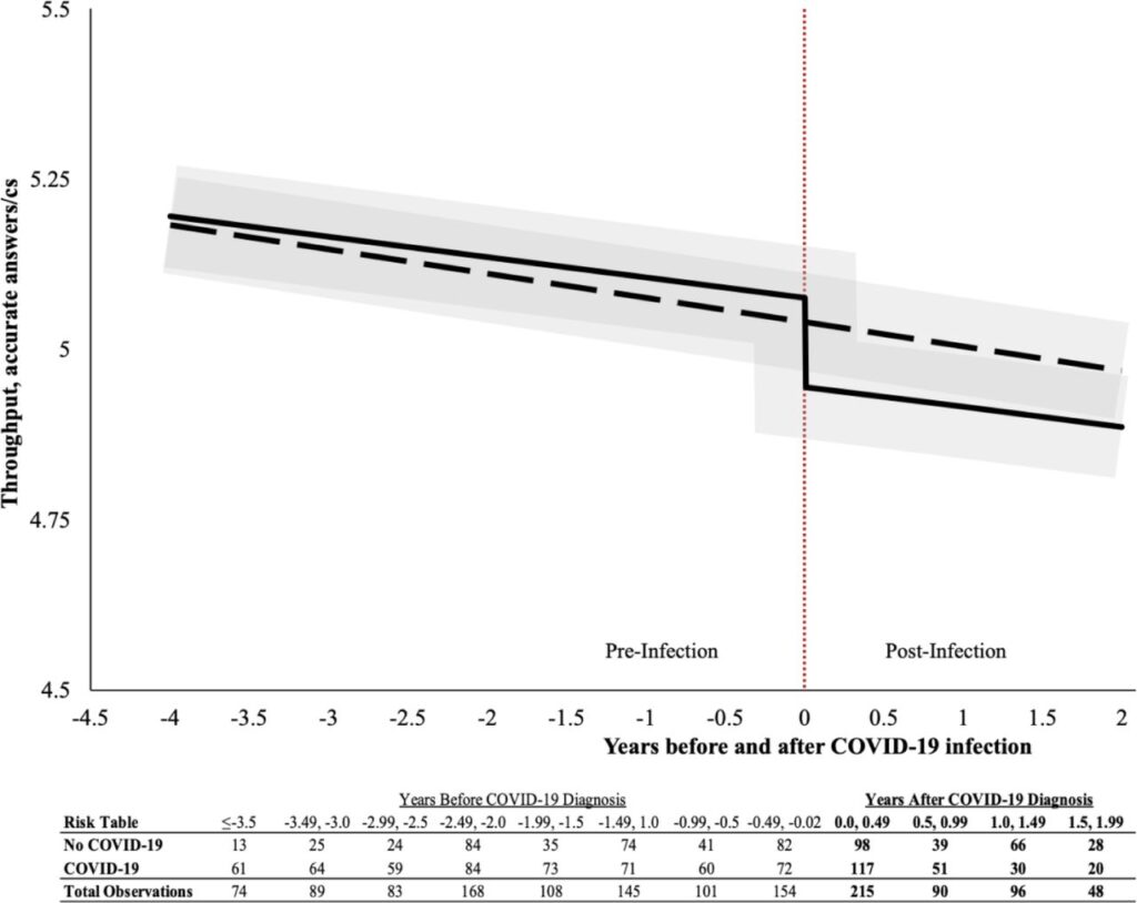
SARS-CoV-2-Infektion verursacht geistige Alterung um 10 Jahre COVID Info, 11. November 202311. November 2023 Bei den Personen, die symptomatische COVID-19-Infektionen hatten, fanden wir Hinweise auf dauerhafte Veränderungen der kognitiven Funktionen, die 10,6 Jahren normalen Alterns entsprechen, und einen Anstieg der Zahl der Teilnehmer mit leichter kognitiver Beeinträchtigung um 59,8 %. Diese Ergebnisse deuten auf eine Zunahme der kognitiven Dysfunktion und einen schlechteren Gesundheitszustand des Gehirns nach COVID-19 hin, vor allem bei Patienten mit einem schwereren Verlauf oder PASC. Bei Patienten mit schweren COVID-19-Verläufen wurden transkriptomische Veränderungen in ihrem präfrontalen Kortex festgestellt, die denen älterer Menschen ähneln, und es kam zu einem Rückgang der globalen kognitiven Leistung, der mit der Abnahme einhergeht, die sich normalerweise über 10 Jahre normalen Alterns erstreckt, was mit den Ergebnissen unserer Studie übereinstimmt. Langsamere Reaktionen, geringere Verarbeitungsgeschwindigkeiten und eine schlechtere kognitive Leistungsfähigkeit sowie ein schlechteres visuelles Gedächtnis sind bereichsspezifische Ergebnisse dieser Studie, und diese Funktionen sind für alltägliche Aktivitäten erforderlich. Die Reaktionsgeschwindigkeit ist für die Vermeidung von Unfällen und Stürzen bei älteren Erwachsenen von entscheidender Bedeutung, und eine verringerte Verarbeitungsgeschwindigkeit und eine Störung des Arbeitsgedächtnisses werden häufig mit Veränderungen im Rechenvermögen und schlechteren finanziellen Entscheidungen bei älteren Erwachsenen in Verbindung gebracht. […] Monetäre und funktionelle Verschlechterungen sind bis zu 6 Monate nach einem Krankenhausaufenthalt aufgrund von COVID-19 üblich. […] Im Gegensatz zu Dyspnoe und Depression gibt es für postvirale Müdigkeit und kognitive Beeinträchtigung keine wirksamen Therapien. Die neurologischen Grundlagen der PASC-bedingten Müdigkeit und kognitiven Beeinträchtigung sowie die damit zusammenhängenden Faktoren und Ursachen zu ergründen, ist von entscheidender Bedeutung, da sie sich möglicherweise negativ auf die Wirtschaft auswirken und die Lebensqualität beeinträchtigen können. Patienten, insbesondere solche mit PASC, sollten daher routinemäßig mit Instrumenten untersucht werden, die in der Lage sind, leichte kognitive Anomalien zu erkennen. Demenz und kognitiver Verfall sind nur einige der vielen langfristigen neurologischen Erkrankungen, die mit neurotrophen Atemwegsviren in Verbindung gebracht werden. COVID-19 kann schwerwiegende Verhaltensprobleme hervorrufen und erfordert aufgrund der Neuroinflammation, die bei vielen neurodegenerativen Erkrankungen auftritt, eine genaue neurologische und psychiatrische Überwachung. ASSESSMENT AND CHARACTERIZATION OF COVID-19 RELATED COGNITIVE DECLINE: RESULTS FROM A NATURAL EXPERIMENTBackground Cognitive impairment is the most common and disabling manifestation of post-acute sequelae of SARS-CoV-2. There is an urgent need for the application of more stringent methods for evaluating cognitive outcomes in research studies. Objective To determine whether cognitive decline emerges…Weiterlesenwww.medrxiv.org Forschung Gehirn
Pfizer: Herausforderungen bei Definition, Verständnis und Bewältigung von Long-Covid 19. Juli 202316. Oktober 2025
Große Covid-Autopsiestudie findet SARS-CoV-2 überall im menschlichen Körper 28. Juni 202312. Dezember 2024